Court Garnishee Definition . a garnishee order is a legal directive issued by a court that allows a creditor to collect money owed by a debtor directly from a. A garnishee order allows a creditor (the judgment creditor) to recover a debt. the concept of a garnishee order. a garnishee order is a legal directive issued by a court, allowing a creditor to collect a debt by seizing funds directly from a debtor’s bank account or. a garnishee is a third party that is ordered by a court to withhold funds or assets that belong to a debtor and to pay these. a garnishee order is a court order that compels a third party (the garnishee) who owes money to the. A garnishee order is an order issued by a court under the provisions of rule 46 of order 21 of the. He is a person or institution that is indebted to another whose property has been.
from www.youtube.com
a garnishee order is a court order that compels a third party (the garnishee) who owes money to the. He is a person or institution that is indebted to another whose property has been. A garnishee order allows a creditor (the judgment creditor) to recover a debt. a garnishee order is a legal directive issued by a court that allows a creditor to collect money owed by a debtor directly from a. A garnishee order is an order issued by a court under the provisions of rule 46 of order 21 of the. a garnishee is a third party that is ordered by a court to withhold funds or assets that belong to a debtor and to pay these. the concept of a garnishee order. a garnishee order is a legal directive issued by a court, allowing a creditor to collect a debt by seizing funds directly from a debtor’s bank account or.
Types Of Wage Garnishment YouTube
Court Garnishee Definition a garnishee order is a court order that compels a third party (the garnishee) who owes money to the. a garnishee is a third party that is ordered by a court to withhold funds or assets that belong to a debtor and to pay these. He is a person or institution that is indebted to another whose property has been. the concept of a garnishee order. a garnishee order is a legal directive issued by a court that allows a creditor to collect money owed by a debtor directly from a. a garnishee order is a court order that compels a third party (the garnishee) who owes money to the. A garnishee order is an order issued by a court under the provisions of rule 46 of order 21 of the. A garnishee order allows a creditor (the judgment creditor) to recover a debt. a garnishee order is a legal directive issued by a court, allowing a creditor to collect a debt by seizing funds directly from a debtor’s bank account or.
From www.academia.edu
(DOC) DEFINING GARNISHEE ORDER edgar nyanga Academia.edu Court Garnishee Definition A garnishee order allows a creditor (the judgment creditor) to recover a debt. a garnishee order is a court order that compels a third party (the garnishee) who owes money to the. A garnishee order is an order issued by a court under the provisions of rule 46 of order 21 of the. the concept of a garnishee. Court Garnishee Definition.
From www.studocu.com
Garnishee Proceedings REPUBLIC OF KENYA IN THE HIGH COURT OF KENYA AT Court Garnishee Definition a garnishee is a third party that is ordered by a court to withhold funds or assets that belong to a debtor and to pay these. a garnishee order is a court order that compels a third party (the garnishee) who owes money to the. the concept of a garnishee order. A garnishee order allows a creditor. Court Garnishee Definition.
From www.studocu.com
Study Garnishee Proceeding Garnishee Proceeding The rules governing Court Garnishee Definition He is a person or institution that is indebted to another whose property has been. A garnishee order allows a creditor (the judgment creditor) to recover a debt. a garnishee order is a court order that compels a third party (the garnishee) who owes money to the. the concept of a garnishee order. A garnishee order is an. Court Garnishee Definition.
From www.youtube.com
What is Garnishment and How Does it Work YouTube Court Garnishee Definition the concept of a garnishee order. He is a person or institution that is indebted to another whose property has been. a garnishee order is a legal directive issued by a court, allowing a creditor to collect a debt by seizing funds directly from a debtor’s bank account or. a garnishee order is a court order that. Court Garnishee Definition.
From jlklaw.co
Garnishee Proceedings The Overview JAMES LIEW & KONG Court Garnishee Definition a garnishee order is a legal directive issued by a court that allows a creditor to collect money owed by a debtor directly from a. a garnishee is a third party that is ordered by a court to withhold funds or assets that belong to a debtor and to pay these. the concept of a garnishee order.. Court Garnishee Definition.
From www.youtube.com
Types Of Wage Garnishment YouTube Court Garnishee Definition a garnishee order is a court order that compels a third party (the garnishee) who owes money to the. He is a person or institution that is indebted to another whose property has been. a garnishee order is a legal directive issued by a court, allowing a creditor to collect a debt by seizing funds directly from a. Court Garnishee Definition.
From www.uslegalforms.com
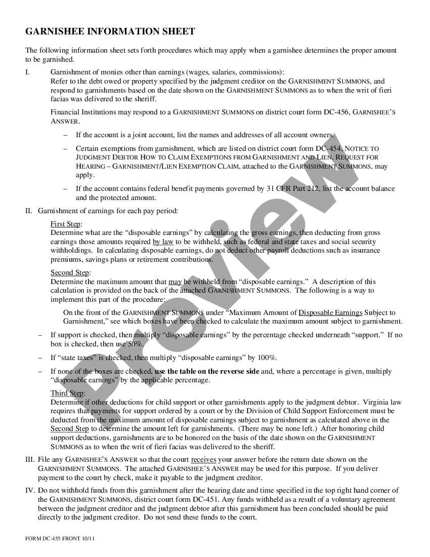
Virginia Garnishee Information Sheet US Legal Forms Court Garnishee Definition He is a person or institution that is indebted to another whose property has been. A garnishee order is an order issued by a court under the provisions of rule 46 of order 21 of the. A garnishee order allows a creditor (the judgment creditor) to recover a debt. the concept of a garnishee order. a garnishee order. Court Garnishee Definition.
From thecontentauthority.com
Garnishor vs Garnishee When And How Can You Use Each One? Court Garnishee Definition a garnishee order is a court order that compels a third party (the garnishee) who owes money to the. A garnishee order allows a creditor (the judgment creditor) to recover a debt. a garnishee order is a legal directive issued by a court, allowing a creditor to collect a debt by seizing funds directly from a debtor’s bank. Court Garnishee Definition.
From www.studocu.com
Garnishee Proceedings, How It Works, and Other Instances. GARNISHEE Court Garnishee Definition A garnishee order is an order issued by a court under the provisions of rule 46 of order 21 of the. He is a person or institution that is indebted to another whose property has been. a garnishee order is a legal directive issued by a court that allows a creditor to collect money owed by a debtor directly. Court Garnishee Definition.
From www.studocu.com
What is a Garnishee Order and How Does It Work? In simpler terms, the Court Garnishee Definition a garnishee is a third party that is ordered by a court to withhold funds or assets that belong to a debtor and to pay these. He is a person or institution that is indebted to another whose property has been. a garnishee order is a legal directive issued by a court, allowing a creditor to collect a. Court Garnishee Definition.
From www.uslegalforms.com
Arkansas Garnishee's Answer to Writ of Garnishment Sample Answer To Court Garnishee Definition A garnishee order is an order issued by a court under the provisions of rule 46 of order 21 of the. a garnishee order is a legal directive issued by a court, allowing a creditor to collect a debt by seizing funds directly from a debtor’s bank account or. a garnishee order is a court order that compels. Court Garnishee Definition.
From www.pdffiller.com
Writ Of Garnishment Miami Dade County Fill Online, Printable Court Garnishee Definition a garnishee is a third party that is ordered by a court to withhold funds or assets that belong to a debtor and to pay these. He is a person or institution that is indebted to another whose property has been. a garnishee order is a legal directive issued by a court, allowing a creditor to collect a. Court Garnishee Definition.
From detangle.ai
Garnishment meaning in law and legal documents Legal Terms Detangle Court Garnishee Definition a garnishee is a third party that is ordered by a court to withhold funds or assets that belong to a debtor and to pay these. He is a person or institution that is indebted to another whose property has been. the concept of a garnishee order. a garnishee order is a legal directive issued by a. Court Garnishee Definition.
From studylib.net
Garnishment Package The Courts of British Columbia Court Garnishee Definition A garnishee order allows a creditor (the judgment creditor) to recover a debt. He is a person or institution that is indebted to another whose property has been. a garnishee order is a legal directive issued by a court, allowing a creditor to collect a debt by seizing funds directly from a debtor’s bank account or. the concept. Court Garnishee Definition.
From www.studocu.com
Garnishee Order Lecture notes 110 GARNISHEE ORDER A court order Court Garnishee Definition a garnishee is a third party that is ordered by a court to withhold funds or assets that belong to a debtor and to pay these. A garnishee order is an order issued by a court under the provisions of rule 46 of order 21 of the. a garnishee order is a legal directive issued by a court. Court Garnishee Definition.
From www.formsbank.com
Fillable Final Report And Answer Of Garnishee Cleveland Municipal Court Garnishee Definition a garnishee order is a legal directive issued by a court, allowing a creditor to collect a debt by seizing funds directly from a debtor’s bank account or. A garnishee order allows a creditor (the judgment creditor) to recover a debt. a garnishee order is a legal directive issued by a court that allows a creditor to collect. Court Garnishee Definition.
From www.scribd.com
Garnishee Order Garnishment Civil Law Law) Court Garnishee Definition a garnishee order is a legal directive issued by a court, allowing a creditor to collect a debt by seizing funds directly from a debtor’s bank account or. a garnishee is a third party that is ordered by a court to withhold funds or assets that belong to a debtor and to pay these. the concept of. Court Garnishee Definition.
From www.paychex.com
An Employer's Guide to Handling Garnishments Paychex Court Garnishee Definition He is a person or institution that is indebted to another whose property has been. a garnishee order is a legal directive issued by a court, allowing a creditor to collect a debt by seizing funds directly from a debtor’s bank account or. the concept of a garnishee order. a garnishee order is a court order that. Court Garnishee Definition.